Publications

This section includes a list of the latest IPNA scientific articles published in journals included in the Science Citation Index (SCI).

In DIGITAL.CSIC, institutional repository of the CSIC, you can find the complete list of scientific articles since 1962, as well as other collections of interest such as congresses, theses, books, informative material, etc. of the centre. The aim of DIGITAL.CSIC is to organize, preserve and disseminate in open access the results of our research.

In the institutional repository of the CSIC, you can find the complete list of scientific articles, as well as other collections of interest such as congresses, theses, books, informative material, etc.

Go to Digital - CSIC

 

Analysis of the IPNA 2014-2019 Scientific Production: bibliometric analysis from data collected in Scopus and Web of Science.

 

Image
Digital CSIC

Epoxide-opening cascades triggered by a Nicholas reaction: Total synthesis of teurilene

Natural inspiration: Based on the biosynthesis of squalene‐derived polyethers, a total synthesis of teurilene is described. The carbocation formation in the Nicholas reaction serves to control the initiation of a polyepoxide ring‐opening cascade. The three furan rings present in teurilene were obtained in excellent yield in one step. Boc=tert‐butoxycarbonyl, TMS=trimethylsilyl.

Rodríguez-López, Julio; Pinacho Crisóstomo, Fernando R.; Ortega, Nuria; López Rodríguez, Matías; Martín, Víctor S.; Martín, Tomás

Angewandte Chemie - International Edition 52(13): 3659-3662 (2013)
DOIDigital.CSIC

Synthesis of Chiral β-Iodo- and Vinylorganophosphorus(V) Compounds by Fragmentation of Carbohydrate Anomeric Alkoxyl Radicals

A new general methodology for the synthesis of chiral vinylphosphonate and vinylphosphine oxide carbohydrate derivatives has been developed using the anomeric alkoxyl radical fragmentation reaction as the key step. The synthetic sequence proceeded via β-iodophosphonate and β-iodophosphine oxide intermediates, which may be interesting synthons for the introduction of phosphorus into organic molecules. These vinylphosphonates could be easily transformed into 2-methylene-1-phosphapentofuranoses (3-methylene-1,2-oxaphospholanes) and β-aminophosphonates, isosteres of biologically active α-methylene-γ-lactones and β-amino acids, respectively.

Hernández-Guerra, Daniel; Rodríguez Morales, María S.; Suárez, Ernesto

Organic Letters 15(2): 250-253 (2013)
DOIDigital.CSIC

Supercritical extraction and supercritical antisolvent fractionation of natural products from plant material: Comparative results on Persea indica

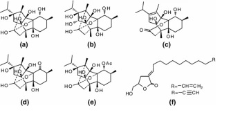
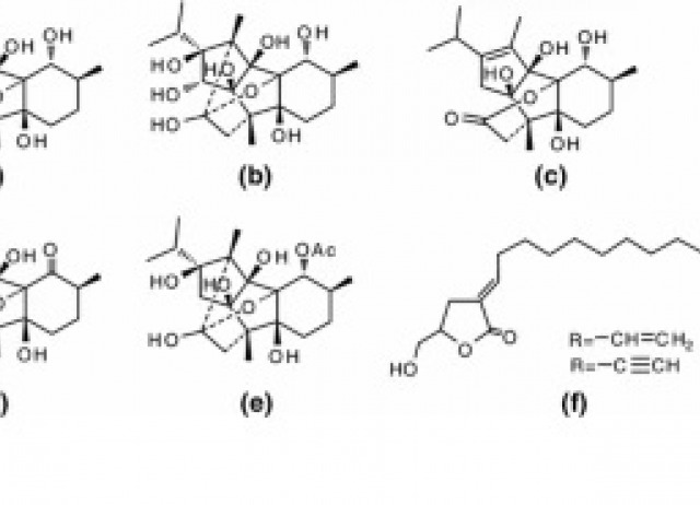
Supercritical fluids (SCFs) are alternative solvents in the field of Green Chemistry that are being developed as advanced separation techniques due to their combined properties such as the penetrability of a gas and the solvent power of a liquid. These characteristics are used in the supercritical fluid extraction (SFE), where compounds of interest can be extracted after mixing a SCF as a solvent with a matrix in a pressurized vessel. Supercritical antisolvent fractionation (SAF) uses the SCF as antisolvent, allowing for the precipitation of insoluble compounds in the SCF-organic solution mixture. An updated overview of SFE and SAF of natural products is presented in this article. Additionally we compare the results of SFE, SAF and organic soxhlet extraction (OSE) of Persea indica, a Macaronesian paleoendemism with strong insecticidal components. The composition of the extracts was analyzed by HPLC-MS, showing in the SFE extracts as major components ryanodol, cinnzeylanol and alkyl-γ-lactones, with their abundance varying with the extraction conditions. On the other hand, the SAF allowed for the fractionation of a liquid solution to give a ryanodol enriched extract (31 % more ryanodol than the initial ethanolic solution). The antifeedant and postingestive effects of these extracts on Spodoptera littoralis showed that the SAF extracts were the most active followed by SFE and OSE and their different effects can be partially explained by their composition.

González-Coloma, Azucena; Martín, L.; Mainar, A.M.; Urieta, J.S.; Fraga, Braulio M.; Rodríguez-Vallejo, V.; Díaz, Carmen E.

Phytochemistry Reviews 11(4): 433- 446 (2012)
DOIDigital.CSIC

Iron(III) Catalyzed Direct Synthesis of cis-2,7-Disubstituted Oxepanes. The Shortest Total Synthesis of (+)-Isolaurepan

Prins cyclization of bis-homoallylic alcohols with aldehydes catalyzed by iron(III) salts shows excellent cis selectivity and yields to form 2,7-disubstituted oxepanes. The iron(III) is able to catalyze this process with unactivated olefins. This cyclization was used as the key step in the shortest total synthesis of (+)-isolaurepan.

Purino, Martín A.; Ramírez, Miguel A.; Daranas, Antonio: Martín, Víctor; Padrón, Juan I.

Organic Letteer 14(23): 5904-5907 (2012)
DOI

Conformation and Chiral Effects in α,β,α-Tripeptides

Short α,β,α-tripeptides comprising a central chiral trisubstituted β2,2,3*-amino acid residue form unusual γ-turns and δ-turns in CDCl3 and DMSO-d6 solutions but do not form β-turns. Thermal coefficients of backbone amide protons, 2D-NMR spectra, and molecular modeling revealed that these motifs were strongly dependent on the configuration (chiral effect) of the central β-amino acid residue within the triad. Accordingly, SSS tripeptides adopted an intraresidual γ-turn like (C6) arrangement in the central β-amino acid, whereas SRS diastereomers preferred an extended δ-turn (C9) conformation. A different SRS-stabilizing bias was observed in the crystal structures of the same compounds, which shared the extended δ-turn (C9) found in solution, but incorporated an additional extended β-turn (C11) to form an overlapped double turn motif.

Saavedra, Carlos J.; Boto, Alicia; Hernández, Rosendo; Miranda, José Ignacio; Aizpurua, Jesus M.

J. Org. Chem. 77(14): 5907-5913 ( 2012)
DOI

Synthesis of α,γ-peptide hybrids by selective conversion of glutamic acid units

The site-selective modification of small peptides at a glutamate residue allows the ready preparation of α,γ-hybrids. In this way, a single peptide can be transformed into a variety of hybrid derivatives. The process takes place under very mild conditions, and good global yields are obtained.

Saavedra, Carlos J.; Boto, Alicia; Hernández, Rosendo

Organic Letters 14(13): 3542-3545 (2012)
DOIDigital.CSIC

Synthesis of α,γ-peptide hybrids by selective conversion of glutamic acid units

The site-selective modification of small peptides at a glutamate residue allows the ready preparation of α,γ-hybrids. In this way, a single peptide can be transformed into a variety of hybrid derivatives. The process takes place under very mild conditions, and good global yields are obtained.

Saavedra, Carlos J.; Boto, Alicia; Hernández, Rosendo

Organic Letters 14(13): 3542-3545 (2012)
DOIDigital.CSIC

Towards a Structural Basis for the Relationship Between Blood Group and the Severity of El Tor Cholera

It has long been known that people with blood group O are more severely affected by El Tor cholera than those with blood groups A or B. Microcalorimetry and NMR spectroscopy are used to evaluate the ability of the B‐subunits of cholera toxin and E. coli heat‐labile toxin to bind to selected blood group oligosaccharides.

Mandal, Pintu K.; Branson, Thomas R.; Hayes, Edward D.; Ross, James F.; Gavín, José A.; Hernández Daranas, Antonio; Turnbull, W. Bruce

Angewandte Chemie - International Edition 51(21): 5143-5146 (2012)
DOIDigital.CSIC

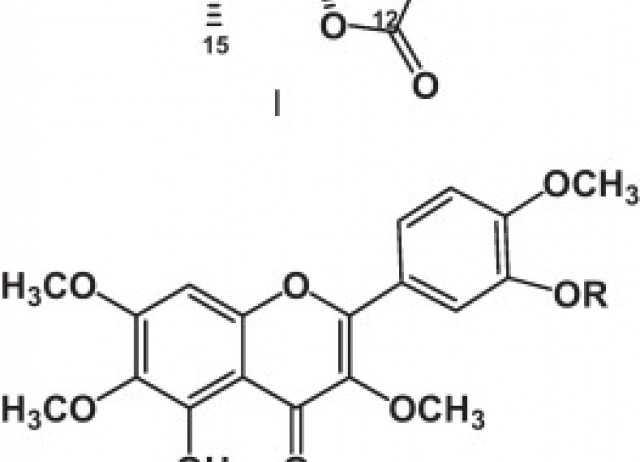
Major components of Spanish cultivated Artemisia absinthium populations: Antifeedant, antiparasitic, and antioxidant effects

The objective of this study was the valorization of Spanish Artemisia absinthium populations from Teruel (Aragón) and Sierra Nevada (Granada). These populations were experimentally cultivated in the field and under controlled conditions. Three major components were isolated from a two year-old population obtained from the Teruel population cultivated in Ejea-Zaragoza in 2003, and identified by NMR experiments as the sequiterpene lactone hydroxypelenolide (I) and the flavones artemetin (II) and casticin (III). The I–III content of the plant extracts was analyzed by HPLC-DAD. The insect antifeedant properties of plant extracts from different years and crops were tested against Spodoptera littoralis, Myzus persicae and Rhopalosiphum padi. Additionally we studied their antioxidant, phytotoxic and antiparasitic effects.

Gonzalez-Coloma, Azucena; Bailen, Maria; Diaz, Carmen E.; Fraga, Braulio M.; Martínez-Díaz, Rafael; Zuñiga, Gustavo E.; Contreras, Rodrigo A.; Cabrera, Raimundo; Burillo, Jesus

Industrial Crops and Products 37(1): 401-407 (2012)
DOI

Plant-defensive sesquiterpenoids from Senecio species with biopesticide potential

Senecio species have been used in folk medicine for treatment of wounds, as antiemetic, antiinflammatory and their crude extract or dry powder as crop protection agents. The toxicity exhibited to livestock by these plants has been attributed to their content in pyrrolizidine alkaloids and furanoeremophilane type sesquiterpenes. Sesquiterpenoids with eremophilane, cacalol, bisabolane, silphinene, caryophillane, humulane, germacrane and benzofurane skeletons have been isolated from this genus. Here we focus on bioactive sesquiterpenoids with plant defensive properties isolated from Senecio.

Portero, A. G.; González-Coloma, Azucena; Reina, Matías; Díaz, Carmen E.

Phytochemistry Reviews 11(4): 391-403 (2012)
DOIDigital.CSIC