Publications

This section includes a list of the latest IPNA scientific articles published in journals included in the Science Citation Index (SCI).

In DIGITAL.CSIC, institutional repository of the CSIC, you can find the complete list of scientific articles since 1962, as well as other collections of interest such as congresses, theses, books, informative material, etc. of the centre. The aim of DIGITAL.CSIC is to organize, preserve and disseminate in open access the results of our research.

In the institutional repository of the CSIC, you can find the complete list of scientific articles, as well as other collections of interest such as congresses, theses, books, informative material, etc.

Go to Digital - CSIC

 

Analysis of the IPNA 2014-2019 Scientific Production: bibliometric analysis from data collected in Scopus and Web of Science.

 

Image
Digital CSIC

The phylogeny of leaf beetles (Chrysomelidae) inferred from mitochondrial genomes

The high-level classification of Chrysomelidae (leaf beetles) currently recognizes 12 or 13 well-established subfamilies, but the phylogenetic relationships among them remain ambiguous. Full mitochondrial genomes were newly generated for 27 taxa and combined with existing GenBank data to provide a dataset of 108 mitochondrial genomes covering all subfamilies. Phylogenetic analysis under maximum likelihood and Bayesian inference recovered the monophyly of all subfamilies, except that Timarcha was split from Chrysomelinae in some analyses. Three previously recognized major clades of Chrysomelidae were broadly supported: the ‘chrysomeline’ clade consisting of (Chrysomelinae (Galerucinae + Alticinae)); the ‘sagrine’ clade with internal relationships of ((Bruchinae + Sagrinae) + (Criocerinae + Donaciinae)), and the ‘eumolpine’ clade comprising (Spilopyrinae (Cassidinae (Eumolpinae (Cryptocephalinae + Lamprosomatinae)))). Relationships among these clades differed between data treatments and phylogenetic algorithms, and were complicated by two additional deep lineages, Timarcha and Synetinae. Various topological tests favoured the PhyloBayes software as the preferred inference method, resulting in the arrangement of (chrysomelines (eumolpines + sagrines)), with Timarcha placed as sister to the chrysomeline clade and Synetinae as a deep lineage splitting near the base. Whereas mitogenomes provide a solid framework for the phylogeny of Chrysomelidae, the basal relationships do not agree with the topology of existing molecular studies and remain one of the most difficult problems of Chrysomelidae phylogenetics.

Nie, Rui-e; Andújar, Carmelo ; Gómez-Rodríguez, Carola ; Bai, Ming; Xue, Huai-Jun; Tang, Min; Yang, Chen-Tao.; Tang, Pu; Yang, Xing-Ke; Vogler, Alfried P.

Systematic Entomology 45(1): 188-204 (2020)
DOIDigital.CSIC

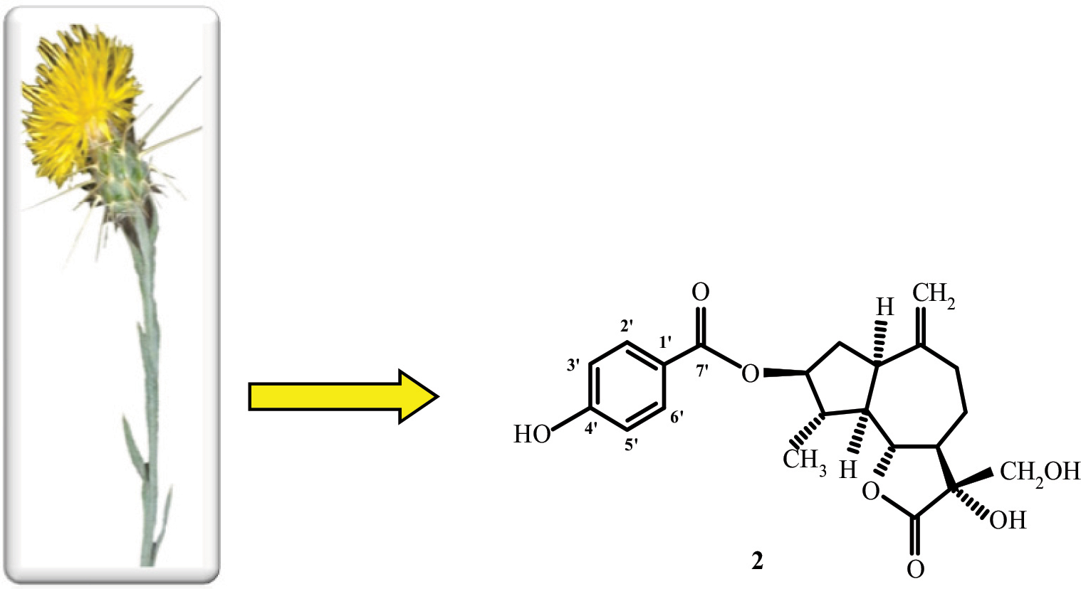
Characterization of Chemical Compounds and Antioxidant Activity of Centaurea solstitialis sp. schouwii (DC.) Q. et S. (Asteraceae)

Background: The antioxidant activity and the total phenolic and flavonoid contents of the derived extracts (chloroform, ethyl acetate and n-butanol) of the 70% hydroalcoholic extract of the aerial parts of Centaurea solstitialis growing in Algeria was assessed. The active extracts were selected for phytochemical investigations.

Methods: The antioxidant capabilities of the extracts were assessed using 1, 1-diphenyl-2- picrylhydrazyl radical (DPPH•) scavenging and Cupric Ion Reducing Antioxidant Capacity (CUPRAC) assays. Butylhydroxyanisole (BHA), butylhydroxytoluene (BHT) and α –tocopherol were used as positive controls. The total phenolic content and total flavonoid content of the extracts were determined as gallic acid equivalents and quercetin equivalents, respectively. Chromatographic methods were used to isolate the secondary metabolites and spectrometric and spectroscopic methods were used to determine their chemical structures.

Results: The ethyl acetate extract exhibited the highest antioxidant activities followed by the n-butanol extract. The highest phenolic and flavonoid contents were found in the n-butanol extract. Phytochemical study of the ethyl acetate and n-butanol extracts led to the isolation of an undescribed guaianolide named 3-(4-hydroxybenzoyl)-cynaratriol and a known sesquiterpene lactone along with three known flavonoid glycosides. Their structures were established by spectral analyzes mainly high resolution electrospray ionisation mass spectrometry (HR-ESIMS) and 1D and 2D nuclear magnetic resonance experiments.

Conclusion: The extracts of aerial parts of C. solstitialis showed significant antioxidant activities. An undescribed sesquiterpene lactone and four known secondary metabolites were isolated from the most active extracts.

Aliouche, Lamia; Mosset, Paul; León, Francisco; Brouard, Ignacio; Benayache, Samir; Djamel, Sarri; Benayache, Fadila

Current Bioactive Compounds 16(5): 618-626 (2020)
DOIDigital.CSIC

Behavioural complementarity among frugivorous birds and lizards can promote plant diversity in island ecosystems

The behavioural complementarity of fruit-eating animals is thought to exert a key role in plant community assembly. However, a mechanistic understanding of the causal links between the two processes is still lacking. This study assesses whether complementarity between dispersers in feeding and microhabitat-use behaviour enhances community-scale dispersal services, resulting in a more diverse community of seedlings. We used a Bayesian approach to connect a comprehensive database of seed dispersal effectiveness at a community scale with a transition probability model that accounts for behavioural complementarity. Our model system was the thermosclerophyllous shrubland of the Canary Islands. There, fleshy-fruited plants rely on two types of frugivores: lizards and birds. Lizards consumed all plant species and preferentially used open areas, whereas birds foraged for small single-seeded fruits and dispersed their seeds beneath plants. Through feeding on different sets of plants, they generated a rich seed-rain community. By diversifying the microhabitat of deposition, more species could find suitable recruitment sites. Distinct foraging and microhabitat-use choices led to complementary dispersal services. Lizards ensured that all plant species were present in the seedling community, while birds promoted a more even distribution of them. As a result, diversity in the community of seedlings was enhanced. Overall, our work underscores that behavioural complementarity promotes diversity in the early-regenerating plant communities. These enhanced dispersal services rely on the presence of all functional groups. Thus, in communities where frugivores display unique behaviours, preserving a diverse community of dispersers should be a conservation target. A free Plain Language Summary can be found within the Supporting Information of this article.

Morán-López, Teresa; González-Castro, Aarón; Morales, Juan Manuel; Nogales, Manuel 

Functional Ecology 34(1): 182-193 (2020)
DOIDigital.CSIC

The synthetic flavanone 6-methoxy-2-(naphthalen-1-yl)chroman-4-one induces apoptosis and activation of the MAPK pathway in human U-937 leukaemia cells

Synthetic flavonoids containing a naphthalene ring have attracted attention as potential cytotoxic compounds. Here, we synthesized ten chalcones and their corresponding flavanones and evaluated their antiproliferative activity against the human tumour cell line U-937. This series of chalcone derivatives was characterized by the presence of a naphthalene ring which was kept unaltered- and attached to the β carbon of the 1-phenyl-2-propen-1-one framework. The structure-activity relationship of these chalcone derivatives and their corresponding cyclic compounds was investigated by the introduction of different substituents (methyl, methoxy, benzyloxy, chlorine) or by varying the position of the methoxy or benzyloxy groups on the A ring. The results revealed that both the chalcone containing the methoxy group at 5′ position of the A ring as well as its corresponding flavanone [6-methoxy-2-(naphthalen-1-yl)chroman-4-one] were the most cytotoxic compounds, with IC50 values of 2.8 ± 0.2 and 1.3 ± 0.2 μM, respectively, against U-937 cells. This synthetic flavanone was as cytotoxic as the antitumor etoposide in U-937 cells and displayed strong cytotoxicity against additional human leukaemia cell lines, including HL-60, MOLT-3 and NALM-6. Human peripheral blood mononuclear cells were more resistant than leukaemia cells to the cytotoxic effects of the flavanone. Treatment of U-937 cells with this compound induced G2-M cell cycle arrest, an increase in sub-G1 ratio and annexin-V positive cells, mitochondrial cytochrome c release, caspase activation and poly(ADP-ribose)polymerase processing. Apoptosis induction triggered by this flavonoid was blocked by overexpression of the anti-apoptotic protein Bcl-2. This flavanone induces phosphorylation of p38 mitogen-activated protein kinases, extracellular-signal regulated kinases and c-jun N-terminal kinases/stress-activated protein kinases (JNK/SAPK) following different kinetics. Moreover, cell death was attenuated by the inhibition of mitogen-activated extracellular kinases and JNK/SAPK and was independent of reactive oxygen species generation.

Saavedra, Ester; Del Rosario, Henoc; Brouard, Ignacio; Hernández-Garcés, Judith; García, Celina; Quintana, José; Estévez, Francisco

Bioorganic Chemistry 94: 103450 (2020)
DOIDigital.CSIC

Impacts of Desert Dust Outbreaks on Air Quality in Urban Areas

Air pollution has many adverse effects on health and is associated with an increased risk of mortality. Desert dust outbreaks contribute directly to air pollution by increasing particulate matter concentrations. We investigated the influence of desert dust outbreaks on air quality in Santa Cruz de Tenerife, a city located in the dust export pathway off the west coast of North Africa, using air-quality observations from a six-year period (2012–2017). During winter intense dust outbreaks PM 10 mean (24-h) concentrations increased from 14 μ g m −3 to 98 μ g m −3 , on average, and PM 2.5 mean (24-h) concentrations increased from 6 μ g m −3 to 32 μ g m −3 . Increases were less during summer outbreaks, with a tripling of PM 10 and PM 2.5 daily mean concentrations. We found that desert dust outbreaks reduced the height of the marine boundary layer in our study area by >45%, on average, in summer and by ∼25%, on average, in winter. This thinning of the marine boundary layer was associated with an increase of local anthropogenic pollution during dust outbreaks. NO 2 and NO mean concentrations more than doubled and even larger relative increases in black carbon were observed during the more intense summer dust outbreaks; increases also occurred during the winter outbreaks but were less than in summer. This has public health implications; local anthropogenic emissions need to be reduced even further in areas that are impacted by desert dust outbreaks to reduce adverse health effects.

Milford, C.; Cuevas, E.; Marrero, Carlos L.; Bustos, J. J.; Gallo, Víctor; Rodríguez, Sergio; Romero-Camos, Pedro M.; Torres, Carlo

Atmosphere 11(1), 23: 1-16 (2020)
DOIDigital.CSIC

A validated workflow for rapid taxonomic assignment and monitoring of a national fauna of bees (Apiformes) using high throughput DNA barcoding

Improved taxonomic methods are needed to quantify declining populations of insect pollinators. This study devises a high-throughput DNA barcoding protocol for a regional fauna (United Kingdom) of bees (Apiformes), consisting of reference library construction, a proof-of-concept monitoring scheme, and the deep barcoding of individuals to assess potential artefacts and organismal associations. A reference database of cytochrome oxidase c subunit 1 (cox1) sequences including 92.4% of 278 bee species known from the UK showed high congruence with morphological taxon concepts, but molecular species delimitations resulted in numerous split and (fewer) lumped entities within the Linnaean species. Double tagging permitted deep Illumina sequencing of 762 separate individuals of bees from a UK-wide survey. Extracting the target barcode from the amplicon mix required a new protocol employing read abundance and phylogenetic position, which revealed 180 molecular entities of Apiformes identifiable to species. An additional 72 entities were ascribed to nuclear pseudogenes based on patterns of read abundance and phylogenetic relatedness to the reference set. Clustering of reads revealed a range of secondary operational taxonomic units (OTUs) in almost all samples, resulting from traces of insect species caught in the same traps, organisms associated with the insects including a known mite parasite of bees, and the common detection of human DNA, besides evidence for low-level cross-contamination in pan traps and laboratory procedures. Custom scripts were generated to conduct critical steps of the bioinformatics protocol. The resources built here will greatly aid DNA-based monitoring to inform management and conservation policies for the protection of pollinators.

Creedy, Thomas J.; Norman, Hannah; Tang, Cuong Q.; Qing Chin, Kai; Andujar, Carmelo; Arribas, Paula; O'Connor, Rory S.; Carvell, Claire; Notton, David G.; Vogler, Alfred P.

Molecular Ecology Resources 20(1): 40-53 (2020)
DOIDigital.CSIC

Biopolymer/Glycopolypeptide-Blended Scaffolds: Synthesis, Characterization and Cellular Interactions

Three-dimensional (3D) scaffolds formed from natural biopolymers gelatin and chitosan that are chemically modified by galactose have shown improved hepatocyte adhesion, spheroid geometry and functions of the hepatocytes. Galactose specifically binds to the hepatocytes via the asialoglycoprotein receptor (ASGPR) and an increase in galactose density further improves the hepatocyte proliferation and functions. In this work, we aimed to increase the galactose density within the biopolymeric scaffold by physically blending the biopolymers chitosan and gelatin with an amphiphlic β-galactose polypeptide (PPO-GP). PPO-GP, is a di-block copolymer with PPO and β-galactose polypeptide, exhibits lower critical solution temperature and is entrapped within the scaffold through hydrophobic interactions. The uniform distribution of PPO-GP within the scaffold was confirmed by fluorescence microscopy. SEM and mechanical testing of the hybrid scaffolds indicated pore size, inter connectivity and compression modulus similar to the scaffolds made from 100 % biopolymer. The presence of the PPO-GP on the surface of the scaffold was tested monitoring the interaction of an analogous mannose containing PPO-GP scaffold and the mannose binding lectin Con-A. In vitro cell culture experiments with HepG2 cells were performed on GLN-GP and CTS-GP and their cellular response was compared with GLN and CTS scaffolds for a period of seven days. Within three days of culture the Hep G2 cells formed multicellular spheroids on GLN-GP and CTS-GP more efficiently than on the GLN and CTS scaffolds. The multicellular spheroids were also found to infiltrate more in GLN-GP and CTS-GP scaffolds and able to maintain their round morphology as observed by live/dead and SEM imaging.

Dhaware, Vinita; Díaz Díaz, David ; Sen Gupta, Sayem

Chemistry - An Asian Journal 14(24): 4837-4846 (2019)
DOIDigital.CSIC

Heritage in danger. The collapse of commercial archaeology in Spain

As in most European countries and elsewhere, Spanish commercial archaeology is a business model based on the theoretical and technical principles of safeguarding heritage that thrived during the 1990s and 2000s. However, nearly half of the Spanish archaeological companies closed by 2014, stressing the drama associated with the redundancy of its workforce in a mere five-year period and the threat to heritage protection and management. The current context of global crisis has impacted this sector, which is on the brink of extinction. This emphasizes the need for a new paradigm of archaeological heritage management in the 21st century. This breakdown calls into question the extent to which archaeology can generate initiatives of sustainable heritage management. By analysing data derived from an empirical study of Spanish archaeological companies between 2009 and 2017, this paper explores the underlying factors behind the collapse of commercial archaeology. In doing so, it contributes to the current global debate about the future possibilities of heritage management in a post-industrial context.

Parga Dans, Eva

Archaeological Dialogues 26(2): 111-122 (2019)
DOIDigital.CSIC

Unifying macroecology and macroevolution to answer fundamental questions about biodiversity

The study of biodiversity started as a single unified field that spanned both ecology and evolution and both macro and micro phenomena. But over the 20th century, major trends drove ecology and evolution apart and pushed an emphasis towards the micro perspective in both disciplines. Macroecology and macroevolution re-emerged as self-consciously distinct fields in the 1970s and 1980s, but they remain largely separated from each other. Here, we argue that despite the challenges, it is worth working to combine macroecology and macroevolution. We present 25 fundamental questions about biodiversity that are answerable only with a mixture of the views and tools of both macroecology and macroevolution.

McGill, Brian J.; Chase, Jonathan M.; Hortal, Joaquín ; Overcast, Isaac; Rominger, Andrew J.; Rosindell, James; Borges, Paulo A.V.; Emerson, Brent C.; Etienne, Rampal; Hickerson, Michael J.; Mahler, D.Luke; Massol, Francois; McGaughran, Angela; Neves, Pedro; Parent, Christine; Patiño, Jairo; Ruffley, Megan; Wagner, Catherine E.; Gillespie, Rosemary

Global Ecology and Biogeography 28(12): 1925-1936 (2019)
DOIDigital.CSIC

Niosomes encapsulated in biohydrogels for tunable delivery of phytoalexin resveratrol

A series of biohydrogels based on mixtures of kappa-carrageenan (κ-carrageenan, κ-C) and gelatin were evaluated as potential soft delivery vehicles for the encapsulation and subsequent release of non-ionic surfactant vesicles (niosomes) loaded with resveratrol (RSV). The niosomes were prepared using a mixture of amphiphilic lipids Tween 80 and Span 80 in water. The results showed that RSV-niosomes did not significantly affect the hydrogelation properties of the biopolymer mixture. Moreover, in vitro drug release experiments from biohydrogels containing RSV-niosomes were successfully carried out under simulated gastrointestinal conditions. The RSV-niosomal liberation profiles from hydrogels were fitted using first order kinetics, Higuchi, Korsmeyer-Peppas and Weibull drug release models, showing the prevalence of diffusion mechanisms in each case. In addition, the RSV release was easily tuned by adjusting the total concentration of κ-C : gelatin. Interestingly, the niosomal-hydrogel system was also found to prevent the trans-to-cis photoisomerization of RSV.

Machado, Noelia D.; Fernández, Mariana A.; Häring, Marleen; Saldías, César; Díaz Díaz, David

RSC Advances 9: 7601-7609 (2019)
DOIDigital.CSIC