Supercritical extraction and supercritical antisolvent fractionation of natural products from plant material: Comparative results on Persea indica

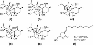
Supercritical fluids (SCFs) are alternative solvents in the field of Green Chemistry that are being developed as advanced separation techniques due to their combined properties such as the penetrability of a gas and the solvent power of a liquid. These characteristics are used in the supercritical fluid extraction (SFE), where compounds of interest can be extracted after mixing a SCF as a solvent with a matrix in a pressurized vessel. Supercritical antisolvent fractionation (SAF) uses the SCF as antisolvent, allowing for the precipitation of insoluble compounds in the SCF-organic solution mixture. An updated overview of SFE and SAF of natural products is presented in this article. Additionally we compare the results of SFE, SAF and organic soxhlet extraction (OSE) of Persea indica, a Macaronesian paleoendemism with strong insecticidal components. The composition of the extracts was analyzed by HPLC-MS, showing in the SFE extracts as major components ryanodol, cinnzeylanol and alkyl-γ-lactones, with their abundance varying with the extraction conditions. On the other hand, the SAF allowed for the fractionation of a liquid solution to give a ryanodol enriched extract (31 % more ryanodol than the initial ethanolic solution). The antifeedant and postingestive effects of these extracts on Spodoptera littoralis showed that the SAF extracts were the most active followed by SFE and OSE and their different effects can be partially explained by their composition.

Imagen
Image
Supercritical extraction and supercritical antisolvent fractionation of natural products from plant material: Comparative results on Persea indica
Fecha Publicación
Destacar en grupo de investigación
No
Autores

González-Coloma, Azucena; Martín, L.; Mainar, A.M.; Urieta, J.S.; Fraga, Braulio M.; Rodríguez-Vallejo, V.; Díaz, Carmen E.

Revista
Phytochemistry Reviews 11(4): 433- 446 (2012)